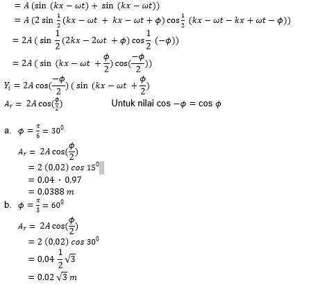
1. Dua gelombang yang menjalar pada tali dalam arah yang sama masing-masing mempunyai frekuensi 100 Hz panjang gelombang 2 cm, dan amplitudo 0,02 m. Berapakah amplitudo gelombang resultan jika gelombang-gelombang penyusun berbeda fase (a) sebesar π/6 dan (b) sebesar π/3
2. Berapa beda fase antara dua gelombang pada soal nomor 1 jika amplitudo gelombang resultan 0,02 m, sama dengan amplitudo masing-masing gelombang penyusun ?
3. Dua gelombang yang mempunyai frekuensi, panjang gelombang dan amplitudo sama menjalar dalam arah yang sama. Jika keduanya berbeda fase sebesar π/2 dan masing-masing amplitudonya 0,05 m, hitunglah amplitudo gelombang resultan.
Solusi
Nomor 1
Karena nilai variabel gelombang yang lain
sama (f,
,
A) makan nilai bilangan gelombang dan frekuensi sudut kedua gelombang juga sama
maka persamaan diatas dapat dituliskan dengan :




EmoticonEmoticon